Games202(8`第10章)
第10章
BRDF
FDG项:详见其他章节
注:以下是论文的描述,在games202课程中,由于很多符号都表达的不一致,就统一按论文中符号来说
The Kulla-Conty Approximation
Single scattering单次散射ss,Multiple scattering多次散射ms
对于BRDF的D项(通常使用GGX算法),只考虑了光线ss的结果,没有考虑经过ms到达人眼的情况(将它直接丢弃掉),这样引起能量损失
当粗糙度越高,丢失的能量越多,结果越不正确,和正确的效果差异越大(GGX在a==1时,能量损失达到约60%,当使用其他算法GTR/STD,它甚至会变得更糟,达到90%以上)
Heitz (2014) 考虑新的BRDF模型,我们之前的BRDF模型作为pss单次散射出射的能量(wi->wo),新增了pms多次散射出射的能量(wi->wo),pms作为单方向能量补偿项
考虑半球所有方向,总的出射能量E(wo)
它也分为Ess和Ems两个部分组成,Ems作为总能量补偿项,Ems为∫pms
我们没有考虑吸收,因此根据能量守恒,所有入射能量都被反射回来,E(wo)= 1
Kulla & Conty (2017) 近似方案,是一种精确度明显较低,但更简单,更快速的解决方案,它建立在假设材质是各项同性(同性指所有方向均相同,异性指在方向上有差异)的基础上
fms考虑了菲涅尔吸收(吸收即颜色项)
由于BRDF的可逆性,它分解为入射和出射两个方向的ss丢失,ss丢失即作为ms需要补偿的部分
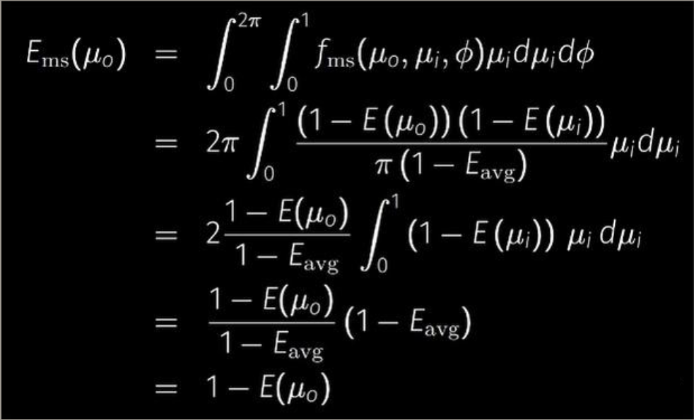
u是换元,这个图片是games202中的推导
分母是用来归一化的常量c,它的推导如下(当不考虑fms时,对pms的积分也就是Ems,应该==1 - Ess):
这是games202推导可以参照,fms==pms,uo==wo,ui==wi,最后结果为1 - Ess





