101复习(4`渲染管线、纹理映射)
渲染管线
- GPU渲染流水线(for(阶段))
- 应用阶段CPU:(准备数据和状态)
- 准备场景数据和状态
- 顶点数据(顶点位置,法线方向,纹理坐标)
- 摄像机(位置,方向,正交/透视,裁剪空间范围)
- 光源(位置,数量,颜色,强度,方向,范围)
- 资源(纹理,模型)
- 渲染状态(测试规则,面剔除,背景色)
- bind数据和状态
- 调用drawcall,开始执行GPU渲染流程
- 准备场景数据和状态
- 几何阶段GPU:(处理几何体)
- 逐顶点vs(MVP,转换到裁剪空间)
- 图元装配 (将顶点装配为基本图元:点、线、三角形等)
- 逐顶点ts细分 (可选,将网格细分为多个网格)
- 逐顶点gs几何(可选,对图元顶点增删改,性能开销大)
- 裁剪:剔除视锥外的图元,生成新P点
- 透视除法:将裁剪坐标转换为归一化设备坐标 (NDC)
- 视口变换(转换到屏幕空间)
- 光栅化阶段GPU:(颜色处理)
- 栅格化(覆盖性测试,将图元转为片元,插值顶点属性)
- 逐片元fs(计算颜色)
- alpha测试
- 模板测试
- 深度测试
- 颜色混合
- 写入颜色缓冲区
- 应用阶段CPU:(准备数据和状态)
- CPU渲染流水线(for(图元))
纹理
- 纹理是一块数据,可以存储任何数据
- 纹理映射
- 把一张纹理贴到模型表面(3维坐标映射到2维uv坐标,颜色值数据拷贝到对应位置)
- 如何计算内部像素映射的uv位置,根据三角形图元重心插值,三角形顶点对应的纹理坐标通常会预先定义好
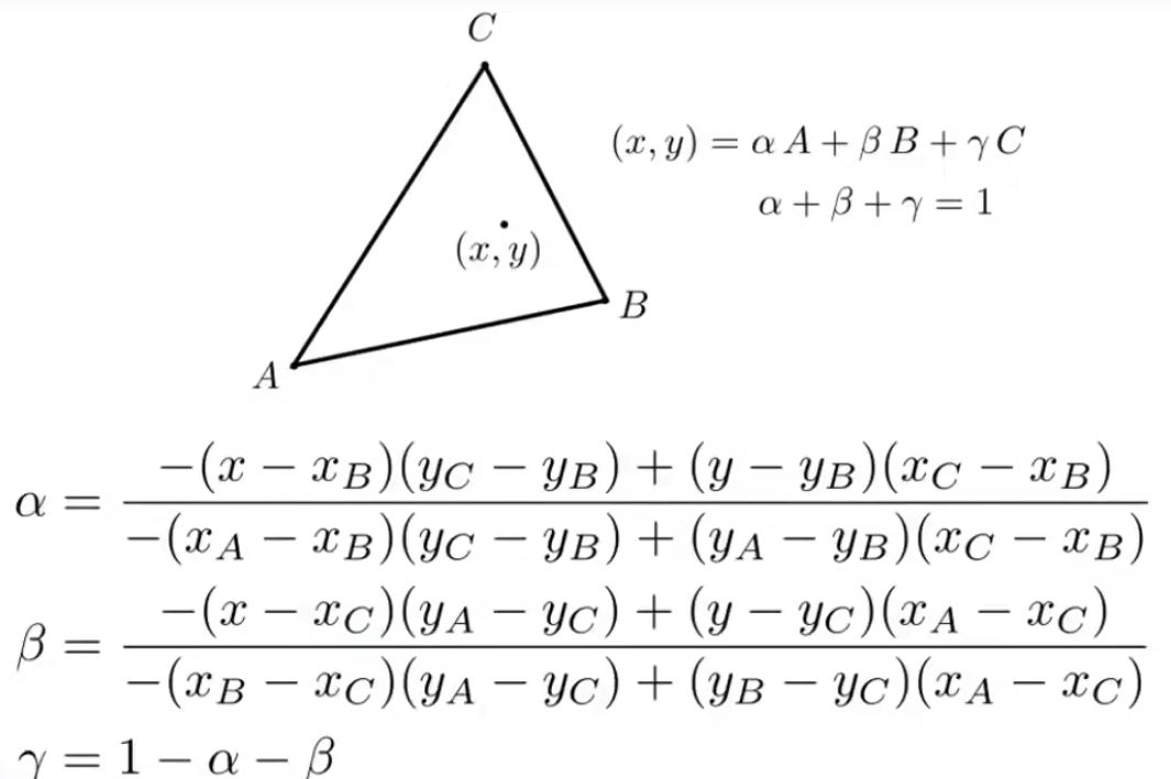
- 重心插值
- 插值时机:图元装配后,片元生成后,也就是光栅化阶段后
- 3维
- 视图空间重心坐标:对片元做数据插值,正确做法是在3维的视图空间的3D位置做插值,之所以是视图空间而不是在比如NDC空间中,是因为在投影变换后会导致不正确的插值结果,那么现在要对片元做空间转换,将它转换到视图空间,然后在3D空间计算重心坐标
- 重心插值:aA + bB + yC,ABC为顶点属性,a+b+y == 1,a、b、y>0(如果不是非负,在三角形所在平面内)
- 2维
- 屏幕分辨率 > 纹理分辨率,
- 需要把纹理放大使得大小一致,放大时纹理的像素数量不变,像素大小变大,一个纹理像素对应多个屏幕像素,并通常查询到非整数坐标,
- 邻近插值:四舍五入,多个屏幕像素查询同一纹理像素,形成的图像会产生一个个格子
- 解决方法:
- 双线性插值:
- 对一个屏幕像素找到临近的四个纹理像素,2*2,可以根据这个uv点,首先四舍五入找到当前像素,看在当前像素的左上左下右上右下哪个方向找4个像素
- 线性插值lerp:v0 + t(v1 - v0),t(0——1), == tv0 + (1-t)v1
- 水平2次线性插值,垂直一次线性插值
- 这个x的值范围为0——1,因为两个像素中心距离最大为1
- 双线性插值:
- 屏幕分辨率 < 纹理分辨率
- 需要把纹理缩小使得大小一致,缩小时纹理的像素数量不变,像素大小变小,一个屏幕像素对应多个纹理像素,并通常查询到非整数坐标
- 临近插值:四舍五入,一个屏幕像素大小(1*1,非点)覆盖更多的远处纹理像素,覆盖更少的近处纹理像素,形成摩尔纹,近处锯齿的走样
- 解决方式:
- 抗锯齿,但需要使用很多很多的采样点(比如512个)才能达到不错的效果,极度消耗性能
- 范围采样:
- 思想:可以找到屏幕像素覆盖的所有纹理像素的平均颜色值,作为屏幕像素颜色,但暴力法极度消耗性能,使用近似方法mipmap将减少性能消耗
- 创建:从一张原纹理第0层新生成log2^n层纹理(n为原纹理max(width,height)的分辨率),每次生成的分辨率是上一次的1/4(width,height同时/2,如果width != height,短的到1为止不在变化,长的继续),像素大小为上一层的4倍,上一层每4个旧像素合成一个新像素,取像素平均值作为新像素的颜色值

- 内存消耗:新增内存为原图的1/3,消耗非常小
- 限制:只对正方形范围查询效果良好
- 查询覆盖面积:
- 方法一:找到uv像素和临近像素(上右),在uv纹理中映射的点,和计算连接向量模长,作为覆盖面积的长宽,这是因为两个像素采样点的距离为1,等于此像素的边长,根据它们估计此像素在uv中的覆盖面积是较为近似的
- 方法二:将uv像素的4个顶点映射到uv中计算面积
- 近似为正方形
- 找到查询层
- 根据像素面积,查询在哪一层会变为一个像素的大小,查询索引log2^n(n为覆盖面积的边长),在这层的uv位置获取颜色值(需要双线性插值),作为此像素颜色值
- 非整数查询层
- 三线性插值:如果查询到非整数层(覆盖面积边长非2的整数倍),分别在两整数层找到颜色结果,再根据覆盖面积接近两层像素大小的程度,做一次线性插值,形成均匀过渡
- 问题:对于远处的物体,会完全模糊掉,因为它仅限正方形范围查询
- 漫反射贴图:物体基础颜色值
- 镜面光贴图:镜面反射的区域强度
- 法线贴图:详见其他章节
- 视差贴图:详见其他章节
- 凹凸贴图:
- 位移贴图:
- 和凹凸贴图使用一致的纹理
- 对顶点实际的移动
- 需要顶点数量足够多,纹理分辨率足够大
- 效果更好,性能消耗更多
- 深度贴图:存储深度值,常用于遮蔽关系,阴影生成……
- 环境贴图:
- 记录所有方向的所有光源(无论直接光照/间接光照)
- 假设所有光都来自很远处,这样不用考虑物体所在位置的影响
- 通常用cubeMap/sphericalMap存储
- 球体存储直接展开的扭曲问题:由于顶端周长小,中间周长大,展开到长方体上两侧会被拉伸,可以用正方体包裹球体,根据球心到球面点方向向量投射到立方体,展开立方体的6个面
- 3D纹理:空间任何一个点的纹理值,使得物体可以看到内部
- 噪声贴图:生成噪声算法纹理,使得物体表面变化具有随机感
- AO纹理:
函数

- 幂函数 x^a,x作为底数,a作为指数,一维函数
- 正分数幂:x^(m/n) == sqrt(x^m)n
- 负分数幂:x^-(m/n) == 1/sqrt(x^m)n
- 小数次幂:小数转为分数

- 指数函数 a^x = y (a > 0 && a != 1)
- 指数函数 a < 0时,负数的非整数指数幂在实数范围内没有定义,会导致函数断裂,破坏连续性,无研究意义
- 指数函数 a == 0时,无论x取何值,结果为0,无研究意义
- 指数函数 a == 1时,函数是线性的,无研究意义

- 对数函数loga^y = x
- lg:10为底的对数
- ln:以无理数e(e=2.71828…)为底的对数,叫作自然对数
- log2^n = x: n==1->0,n==2->1,n==4->2,n==8->3,n==16->4,n==32->5,n==64->6,n==128->7,n==256->8,n==512->9
- x从0开始每次+1,n从1开始每次变为上一次的2倍

- 复数:
- 虚数i^2 == -1
- 复数表示法:形如a + bi为复数,实数与虚数的组合
- 坐标表示法:实数是一维数,都在实数轴上,复数在二维空间,复数平面,x为实轴,y为虚轴,a画在x轴方向,b画在y轴方向
本文由作者按照 CC BY 4.0 进行授权





